在脑科学领域,EEG/ERP技术可以说是研究大脑的最重要的技术手段之一,而对于采集得到的EEG/ERP信号需要经过较为复杂的多个步骤的分析和处理才能够获得我们所需要的最终结果。EEG/ERP信号的分析和处理可能会涉及以下一个或多个方面:信号的预处理(预处理也需要多个步骤)、ERP时域分析、时频分析、频谱分析、功能连接、有效连接、溯源分析等等。上述涉及到的EEG/ERP数据分析对于有编程和信号处理基础的研究者来说或许会稍感轻松,但是对于没有这方面经验的研究者来说可能就会困难重重。
最近几年,随着机器学习技术的快速发展,各领域呈现出与机器学习相结合的新趋势。目前,由谷歌公司开发的深度学习模型,能够对糖尿病视网膜病变做出快速准确的诊断,其诊断能力等于甚至超过了有经验的眼科医生[https://jamanetwork.com/journals/jama/fullarticle/2588763]。不同于传统的单变量的分析方法(这些方面只能得到组水平上的统计学差异),机器学习分析能同时考虑到多个变量的高级的、交互的信息,可以进行个体水平上的研究。脑电,作为一种重要的研究大脑功能状态的技术,其与机器学习技术的结合可以广泛应用于神经和精神疾病的辅助诊断、客观生物标志物寻找、发病机制研究、药物和非药物手段的调控效应研究以及认知状态的EEG解码等方面。
为了帮助脑科学领域的研究者更快地获得EEG/ERP数据分析结果,以及快速地把EEG/ERP技术和机器学习技术这一新颖的分析技术进行结合,把更多的精力放在实验设计上,河南悦影医药科技有限公司(简称悦影科技)特此推出静息态fMRI数据处理服务。 我们团队由多年从事MRI、EEG数据处理和机器学习技术研究的博士和高校老师组成,“专业,诚信,合作,共赢”是我们一直恪守的服务理念,悦影科技竭诚为您提供高质量、精准的数据处理服务。
脑电数据处理和机器学习技术分析服务项目具体如下:
运用EEGlab工具包对EEG/ERP数据进行预处理,一般步骤包括导入数据、通道定位、重参考、滤波、去除坏道、ICA去噪、提取epoch、基线校正。预处理的顺序依照具体情况进行微调。
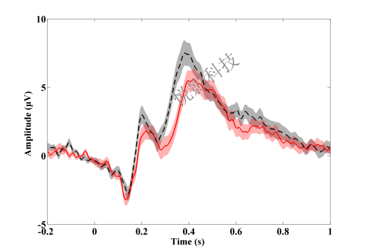
包括ERP成分潜伏期、幅值的计算;ERP波形绘制(如图1所示),ERP成分幅值脑地形图的绘制(如图2所示)。

图1 ERP波形
图2 ERP成分幅值脑地形图
基于短时傅里叶变换的时频分析,基于小波变换的时频分析(如图3所示),以及时频分析结果的统计分析和比较。
图3 基于小波变换的时频分析
计算脑电信号的功率谱曲线(如图4所示)、提取不同频带的绝对功率和相对功率值。
图4 功率谱曲线
基于信息论的功能连接(如MI),基于相位的功能连接计算(如PLV、PLI),基于Granger因果关系的有效连接分析(如基于部分有向耦合PDC、有向传递函数DTF的有效连接计算)。
图5 PLI功能连接
图6 PDC功能连接
六、EEG/ERP的溯源分析
基于Brainstorm工具包,进行的溯源分析包括:ERP成分的皮层溯源定位(如图7),以及在源空间上提取ROI脑区时间序列计算源空间上的功能连接和有效连接(如图8)。
图7 ERP成分的皮层溯源定位
图8 源空间上计算功能连接示意图(图片来源:DOI:10.1109/MSP.2017.2777518)
利用图论的方法来研究脑网络的复杂网络指标,包括聚类系数、特征路径长度、小世界系数、度等等各种图论指标。
图9 图论指标示意图(Mikail Rubinov et al 2010 NeuroImage)
计算包括调控指数(modulation index)、同步化指数(synchronization index)等在内的相-幅耦合(PAC)指标。
图10不同频段相位和不同频段功率之间的同步化指数SI
计算包括LZ复杂度、Kolmogorov复杂度、香农熵、近似熵、样本熵、排列熵、模糊熵、多尺度熵等在内的非线性动力学指标。
上述计算得到的各种指标都可以作为机器学习的特征。应用机器学习的目的一般为疾病的预测、诊断、鉴别诊断、表型(如症状)预测、疗效预测、疾病分型、神经机制解码等。具体分为:
(1)分类:支持的算法包括但不限于K最邻近分类(KNN)、支持向量机(SVM)、逻辑回归分类、决策树、随机森林、线性判别分析(LDA)、朴素贝叶斯、神经网络等。此外,我们还特别推出基于卷积神经网络CNN的分类。
(2)回归:支持的算法包括但不限于最小二乘法线性回归、Lasso回归(L1正则),Ridge回归(L2正则)、Elastic-Net回归(L1+L2正则)、支持向量机回归(SVM)、高斯过程回归、随机森林回归、稀疏典型回归等。同样我们也可以定制基于深度学习的回归。
(3)聚类:支持的算法包括但不限于K-means 聚类、层次聚类、谱聚类、基于密度的聚类(DBSCAN)。
本团队老师有多年编程以及科研经验,能根据客户需求迅速找到科研突破口,实现文献中的核心技术难题。除了上述的分析之外,我们还接受包括算法和程序定制、复现文献中的分析方法等个性化的分析项目。
注:由于个性化分析内容复杂多样,有意向的可以先找我们洽谈商议。